编程算法
《胡船长专属课堂》笔记汇总
掌舵:还用说? 传送门
高级数据结构
二叉排序树、AVL 树
红黑树
哈夫曼树与哈夫曼编码
字符串匹配算法(上):BF、KMP、SUNDAY、SHIFT-AND、Hash
字符串匹配算法(下):Trie、AC、DAT
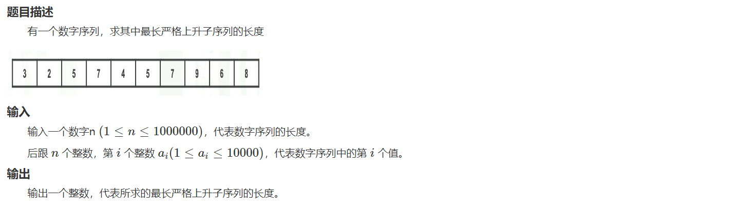
面试笔试算法下
从递推到动态规划(上)
从递推到动态规…
5 字符串匹配算法(下):Trie、AC、DAT
多模匹配问题,与字符串匹配相关的数据结构 多模匹配问题
有多个模式串的匹配问题,常规思路如下:
Step1:多个模式串,建立成一棵字典树
Step2:和文本串的每一位对齐匹配,模拟暴力匹配的过程
Trie
又名字典树、单词查找树,顾名思作用
看图理解
思考树…
《面试笔试算法下》笔记汇总
掌舵:光哥 传送门
从递推到动态规划(上)
从递推到动态规划(下)
单调队列与单调栈
线段树
树状数组
树状数组、线段树练习题
有问题多多指点!
4 字符串匹配算法(上):BF、KMP、SUNDAY、SHIFT-AND、Hash
一些经典、绝伦的单模匹配相关算法 相关定义
单模匹配问题:在文本串 $s$ 中查找某个模式串 $t$ 是否出现过
多模匹配问题:查找多个模式串 $t$
文本串 / 母串:被查找串 $s$
模式串:待查找串 $t$
文本串长度为 $m$,模式串长度为 $n$
暴力匹配法
所…
6 树状数组、线段树练习
线段树知识请跳转:《面试笔试算法下》——4 线段树 树状数组知识请跳转:《面试笔试算法下》——5 树状数组
Lost_cows
样例输入
Copy
5
1
2
1
0
样例输出
Copy
2
4
5
3
1
思路
【问题 1】得到的答案是否唯一❓√
从后往前,反着来观察…
5 树状数组
前缀和数组与差分数组 【假设】原数组 $a$:$a_i,\ i\in [0,\ n]$,注意 $a_0=0$[否则差分数组的前缀和不等于原数组]
【可得】
前缀和数组 $S$:$S_i = \sum_{k=0}^{i}{a_i}$,易得 $a_i = S_i - S…
3 单调队列与单调栈
问题引入 $RMQ (x, y)$ 函数:查询数组 $[x, y]$ 区间内部的最小值,参考RMQ——OI Wiki
如果固定询问区间的尾部,例如:$RMQ (x,7)$
最少记录如下 4 个蓝色元素,即可满足 $RMQ (x,7)$ 的所有需求
并且这 4…
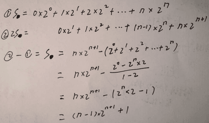
2 从递推到动态规划(下)
三类优化方法 ① 状态转移过程的优化
不改变状态定义,使用一些特殊的数据结构或者算法专门优化转移过程
举例:扔鸡蛋 V2
② 程序实现的优化
状态定义没变、转移过程也没有变
例如:0/1 背包问题,钱币问题 [滚动数组]
③ 状态定义的优化
大量训练才能培养出来的能力…
1 从递推到动态规划(上)
递推算法👉动态规划 递推
兔子繁殖问题 [引入]
题意理解:幼年兔子出生后,过一个月变成成年兔子,再过一个月生下一对幼年兔子 [即第三个月]
本月数量 f (n)= 本月成年 + 本月幼年 👇
本月成年 = 上个月成年 + 上个月幼年 =上个月数量 f (n…
4 线段树
[学习数据结构主要关注解决的是什么问题] 前置知识
解决的问题是什么?区间的修改与查询 [针对积性函数——Wiki]
问题背景
单点修改、区间查询(基础版)
Modify (ind, val):修改 ind 位置的值为 val
Query (start, end…
3 哈夫曼树与哈夫曼编码
直观了解哈夫曼树和哈夫曼编码,证明哈夫曼编码是最优的变长编码 前置知识
什么是编码
最先听到编码是在什么地方?ASCII 码
'a' = (97)10 = (0110 0001)2
'0' = (48)10 = (0011 0000)2
8 位二进制编码,一字节
注意…
《高级数据结构》笔记汇总
掌舵:光哥 传送门
二叉排序树、AVL 树
红黑树
哈夫曼树与哈夫曼编码
字符串匹配算法(上):BF、KMP、SUNDAY、SHIFT-AND、Hash
字符串匹配算法(下):Trie、AC、DAT
有问题多多指点!
2 红黑树
工程实现中应用非常广泛 <5 个平衡条件>
结点非黑即红
根结点是黑色 [头发]
叶结点 (NIL) 是黑色 [不洗脚]
通常不用画出来,也不用考虑 NIL 结点,默认是黑色
红色结点的两个子结点都是黑色⭐
红色结点不能接红色结点
从根结点到所有叶结点的路径上…
1 二叉排序树、AVL树
数据结构,就是定义一种性质,并且维护这种性质 BS 树👉AVL 树
二叉排序树
[又叫二叉搜索树、二叉查找树]
基础知识
性质:对于任意一个三元组,左子树 < 根结点 < 右子树
用途:解决与查找、排名相关的检索需求
【为什么树形结构的查找入口一定是根结点?】
首先明白点…
《基础数据结构》笔记汇总
掌舵:于船 传送门
顺序表与链表
栈与队列
树与二叉树
排序与查找
堆与优先队列
森林与并查集
有问题多多指点!
6 森林与并查集
并查集:合并集合 [建立连通关系]、查找集合中的连通关系 [判断某两个点是否连通] 连通性问题
规则:已经具有连通关系的点不能重复连接
将所有点分成了 2 个集合:①、②
[PS] 点与点的关系 (合并、判断连通)→也可以是→集合与集合的关系
Quic…
5 堆与优先队列
回顾 [完全二叉树] 完全二叉树默认从 1 开始编号
这样可以保证左孩子、右孩子编号简洁
[否则] 左孩子编号需为 2 * i + 1,右孩子编号需为 2 * i + 2
可编号的性质→可用顺序结构存储,而不需要保存下一个结点的地址
二叉树→数组的转换…
4 排序与查找
排序 四象限原则:稳定 / 非稳定、内部 / 外部
稳定:相同元素在排序前后的相对位置不变
内部:需要将数据整个加载到内存中进行排序
【考虑从小到大排序】
稳定排序
插入(内部)
前:已排序区;后:待排序区
后面的数在前面找位置插空
一个一个比较、交换,实现…








































































































































































































































































































